إرشادات مقترحات البحث معلومات خط الزمن الفهارس الخرائط الصور الوثائق الأقسام

مقاتل من الصحراء
Home Page / الأقســام / موضوعات علمية / الكهرباء، واللاسلكي، والإلكترونيات




منظر من الجو لطبق أريسيبو
أجهزة الرؤية والتنشين الحراري
مستشعر أرضي قصير المدى
مستشعر بعيد المدى
مستقبل لنظام تحديد المواقع
استخدام الحاسب للتوقيع
جهاز تقدير المسافة اليدوي
دبابة بالأشعة
صورة حاسب ميداني
طائرة موجهة من دون طيار
صاروخ موجهة بالأشعة دون الحمراء

. التيار والجهد في ملف حث
إمالة الهوائي لخفض الصاري
ممانعة دائرة الرنين
نهاية قمعية هرمية
هوائي متحد زاوية الطور
هوائي مركب
هوائي مزود بعاكس
هوائي الإشعال العلوي
هوائي ثنائي القطبية
هوائي حرف L
هوائي حرف T
هوائي شكل حرف V
موجة التعديل
منحنى التيار للوصلة الثنائية
منحنى التكبير
منطقة الصمت
ملف الإطالة
مثال لدائرة تعديل سعوي
نبضات دائرة المفاضل
مجالات الموجات الكهرومغنطيسية
مجزئ الجهد
إطالة الهوائي بإضافة أفرع
إطالة الهوائي بإضافة فرع
إطالة الهوائي بإضافة فرعين
مسار الموجات السماوية
أساس الإرسال والاستقبال اللاسلكي
مستنزف التيار
مذبذب مكبر ذو تغذية
مقوم موجة ذو مكثف
مقوم الموجة الكاملة
مقاومة التوازي لقياس التيار
النموذج الإشعاعي لهوائي
الهوائي متخالف زاوية الطور
الهوائي المائل
الهوائي ثنائي القطبية المزدوج
الهوائي ذو الشكل المعين
الموجات الكروية
الموجة التوافقية
الموجة الحاملة بعد التعديل
الموجة الحاملة قبل التعديل
الموجة العالية ترددياً
المنحنى الترددي للمكبر
الوصلة الثنائية
المذبذب أحادي الاستقرار
المذبذب ثنائي الاستقرار
المذبذب عديم الاستقرار
المقاومة لقياس التيار
المقياس ذو الملف المتحرك
التمثيل البياني للجهد
التوصيل الأمامي
التوصيل الأمامي للوصلة الثنائية
التوصيل المختلط
التوصيل الخلفي للوصلة الثانية
التوصيل على التوالي
التوصيل على التوازي
التيار والجهد في مكثف
التيار والجهد في مقاومة
التيار وفرق الجهد
التيار المتردد لدورة كاملة
التيار المرشح
التيار الكهربي المستحث
التيار بعد التقويم
الترددات الجانبية
التعديل النبضي
التعديل النبضي الموضعي
التغذية الرجعية
الجهد الحاجز
الجهد الحاجز في التوصيل الخلفي
الحيزات الجانبية
الرابطة التساهمية لذرة الجرمانيوم
الرسم الطوري
السلك المحوري
السلك المجدول
السلك المفرد
العمود الجاف
العلاقة بين الجهد والمحور
الفيض المغناطيسي لملف لولبي
الفيض المغناطيسي لحلقة
الفيض المغناطيسي لسلك
استنتاج علاقة الممانعة والتردد
بلورة القاعدة
تأثير الانعكاس على الهوائي
تأثير انحناء سطح الأرض
تأثير سطح الأرض
تأثر الاتصال بارتفاع الهوائيات
توصيل أربعة مصابيح
توصيل مصباح بسلك
تنفيذ الدائرة المتكاملة بالترانزيستور
تجميع الشعاع الإلكتروني
تجربة نقطة الزيت لميلكان
تجربة قياس الشحنة النوعية
تدريج مقياس المقاومة
ترسيب ترانزيستور
تطبيق نورتون الخطوة الثانية
تطبيق ميلمان الخطوة الأولى
تطبيق ميلمان الخطوة الثانية
تطبيق سفنن المرحلة الأخيرة
تطبيق سفنن الخطوة الأولى
تطبيق سفنن الخطوة الثانية
تغذية الترانزيستور N P N
جهد المسح
جهد المصدر والجهد المستحث
خلية فولتايك
دائرة لتقويم التيار المتردد
دائرة مذبذب
دائرة مذبذب عديم الاستقرار
دائرة المكامل
دائرة القطع
دائرة توضح قانون أوم
دائرة تحليل الدوائر الكهربية
دائرة تكبير باستخدام ترانزيستور
خرج مقوم الموجة الكاملة
حركة الإلكترون
خطوط الفيض المغناطيسي
خطوط عمل المجال المغناطيسي
رمز الوصلة الثنائية
رمز الترانزيستور N P N
رمز الترانزيستور P N P
رسم موجه جيبية
صمام أشعة المهبط
صورة الكهربية لسلك أفقي
صورة الكهربية لسلك رأسي
شبه موصل موجب
شبه موصل سالب
طبقات الأيونوسفير
زيادة مسافة الاتصال
شدة التيار وفرق الجهد
طريقة تنفيذ دائرة متكاملة
كود ترقيم المقاومات
كسر الرابطة التساهمية
علاقة قانون أوم
عمق التعديل السعوي
ظاهرة الاضمحلال
عاكس قطع مكافئ
فارق زاوية الطور
ذرة النحاس
ذرة الهيدروجين
ذرة الكربون
قواعد جبر المتجهات
قانون نورتون الخطوة الأولى
قياس مستويات التيار
قياس مستويات جهد مختلفة
قياس المقاومة
قياس فرق الجهد
قطار النبضات




مقدمة

رابعاً: التحليل والقياس

1. تحليل الدوائر الكهربية

في الدوائر الكهربية، التي تم التعرض لها حتى الآن، استخدم مصدر واحد فقط للجهد الكهربي، ولكن في كثير من التطبيقات، يمكن استخدام أكثر من مصدر للتغذية الكهربية، حيث ينتج كل مصدر منها، تياراً كهربياً، يؤثر في جميع أجزاء الدائرة، ولدراسة الدوائر الكهربية وتحليلها، التي يكون فيها مصدر أو أكثر من مصادر التغذية، وضع جى. آر. كير شوف Kirchhoff ، عام 1847 القوانين الآتية:

أ. في أي دائرة كهربية مغلقة، يكون المجموع الجبري، لقيم جهود مصادر التغذية V وقيم فروق الجهد، الناتجة من مرور التيار I x R مساوياً لصفر.

ب. في أي نقطة، يتلاقى فيها أكثر من مكون من مكونات الدائرة الكهربية، يكون المجموع الجبري للتيارات الكهربية، الداخلة إلى هذه النقطة، مساوياً للمجموع الجبري، للتيارات الكهربية الخارجة منها، ويطلق على تلك النقطة، عقدة توصيل.

2. قانون سفنن

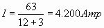
تعد هذه النظرية، أداة قوية لتبسيط الدوائر الكهربية، فبتطبيقها يمكن تحويل أي دائرة كهربية معقدة، تحتوي على أكثر من مصدر تغذية كهربية، وأكثر من مقاومة، أياً كانت طريقة التوصيل، إلى صورة بسيطة، تتكون من مصدر كهربي واحد، قيمته Vth، ومقاومة واحدة قيمتها Rt، ويمكن توضيح طريقة استخدام نظرية سفنن، بتطبيقها على الدائرة الكهربية التالية، ، حيث إن المطلوب، حساب قيمة التيار المار في المقاومةR3 .

يتم فصل المقاومة R3 من الدائرة، وترقيم طرفيها بالحرفين a، b، ويكون للمصدر الكهربي Vth قيمة، تساوي فرق الجهد بين الطرفينa ، b؛ بعد رفع المقاومة R3 من الدائرة، (أُنظر شكل تطبيق سفنن الخطوة الأولى)، فتصبح الدائرة متصلة على التوالي، ولها مصدر تغذية، يتيح فرق جهد، يساوي V1 - V2 ، أي 63 فولت؛ ولحساب فرق الجهد بين النقطتينa ، b، يجب حساب فرق الجهد الواقع على المقاومتين R1، R2، ولذلك يحسب التيار الكلي في الدائرة، ، كالآتي:

فرق الجهد الواقع على R1 هو:

VR1 = I R1 = 4.2 x 12 = 50.4 volts

Vth = Vab = 84 - 50.4 = 33.6 volts

لتطبيق نظرية سفنن، يتبقى حساب المقاومة Rth ، ولذلك يتم توصيل أسلاك كهربية، بدلاً من مصادر التغذية، (أُنظر شكل تطبيق سفنن الخطوة الثانية)، وحساب المقاومة بين النقطتينa ، b، وبالنظر إلي الدائرة، في وضعها الجديد، يتضح أنها تساوي المقاومتينR1 وR2، متصلتين على التوازي، وتكون Rth هي:

Rth = 2.4 ohms.

وطبقاً لنظرية سفنن، تكون الدائرة الكهربية (أٌنظر شكل دائرة تحليل الدوائر الكهربية)، مكافئة للدائرة الجديدة، (أُنظر شكل تطبيق سفنن المرحلة الأخيرة)، ويكون التيار I3 المار في المقاومةR3 هو:

I3 = 4 Amp

3. نظرية نورتون

في هذه النظرية، يعدّ مصدر الطاقة الكهربية، مصدراً مثالياً، للجهد الكهربي، أي أن له مقاومة داخلية، متصلة على التوالي، ويكون قادراً على تطبيق فرق جهد، له قيمة ثابتة، أياً كانت قيم المكونات المتصلة بين أطرافه.

يمكن، أيضاً، تصور مصدر الطاقة الكهربية، في صورة مصدر تيار كهربي، له مقاومة داخلية متصلة على التوازي، مع المصدر، ويكون هذا المصدر، قادراً على تغذية الدائرة الكهربية، بشدة تيار، لها قيمة ثابتة، أياً كانت مكونات هذه الدائرة.

تؤكد نظرية نورتون، أن أي دائرة كهربية ذات طرفين، وتحتوى على مصادر مختلفة للجهد الكهربي، وللتيار الكهربي، يمكن الاستعاضة عنها بدائرة بسيطة، تحتوى على مصدر تيار كهريي IN، له مقاومة داخلية RN متصلة مع المصدر على التوازي، ومقاومة واحدة، متصلة معها على التوازي؛ ولتوضيح طريقة استخدام نظرية نورتون، يمكن بتطبيقها على الدائرة الكهربية، (أُنظر شكل تطبيق سفنن الخطوة الأولى)، التي طبقت عليها نظرية سفنن، ومطلوب في هذه الحالة، حساب شدة التيار الكهربي المار في المقاومة R3 .

الخطوة الأولى في هذه الحالة، هي توصيل سلك بدلاً من المقاومة R3 (أُنظر شكل قانون نورتون الخطوة الأولى)، يتم حساب التيار I1 المار في المقاومة R1 ، والتيار I2 ، المار في المقاومة R2 كالآتي:

التيار IN ، المار في الموصل  abيكون:

IN = I1 + I 2 = 7 + 7 = 14 Amp.

الخطوة الثانية، حساب المقاومة المكافئة،RN بين النقطتين a، b وتحسب بالأسلوب نفسه، المستخدم عند حساب Rth في نظرية سفنن، أي أن:

RN = Rth = 2.4 ohms

الدائرة المكافئة، للدائرة الموضحة (أُنظر شكل تطبيق سفنن الخطوة الأولى)، طبقاً لمنطوق نظرية نورتون، الموضحة (أُنظر شكل تطبيق نورتون الخطوة الثانية)، وتكون شدة التيار المار في المقاومةR3 هي:

I3 = 4 Amp.

مع ملاحظة الآتي:

Rth = RN

Vth = IN x RN

IN = Vth /Rth

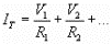
4. نظرية ميلمان Millman ' s Theorem

اسم هذه النظرية، على أسلوب خاص من تطبيقات نظرية نورتون، وذلك عند تطبيقها على كل فرع من فروع الدائرة على حدة؛ ولتوضيح أسلوب استخدام هذه النظرية، في تحليل الدوائر الكهربية، نستخدم الدائرة الموضحة، (أُنظر شكل نظرية ميلمان الخطوة الأولى) ولهذا الغرض نطبق نظرية نورتون، علي كل من الأفرع الثلاثة، على حدة، وتكون النتائج كالآتي:

أ. يستبدل الفرع الرقم 1 بمصدر للتيار شدته 7 أمبير، وتتصل به مقاومة علي التوازي، قيمتها 12 أوم.

ب. يستبدل الفرع الرقم 2 بمصدر للتيار شدته صفر، وتتصل به مقاومة على التوازي، قيمتها 6 أوم.

ج. يستبدل الفرع الرقم 3 بمصدر للتيار شدته 7 أمبير، تتصل به مقاومة على التوازي، قيمتها 3 أوم.

د. الأفرع الثلاثة البديلة، متصلة على التوازي، ولذلك هي تكافئ مصدر تيار قيمته 14 أمبير، يتصل به على التوازي ثلاث مقاومات، قيمتها 12، 3 ، 6 أوم، وتلك المقاومات تكافئ مقاومة، قيمتها 1.72 أوم، وتصبح الدائرة المكافئة طبقاً لنظرية ميلمان، هي تلك الموضحة (أُنظر شكل نظرية مليمان الخطوة الثانية) ، ويكون فرق الجهد بين b، a مساوياً 24 فولت، وهذا يؤدي إلى سريان تيار كهربي في المقاومة R3 الموصلة بين النقطتين b ، a شدته 4 أمبير.

وبصفة عامة، تستخدم نظرية ميلمان، من خلال الخطوات الثلاث الآتية:

أ. حساب التيار الكلي IT

ب. حساب المقاومة الكلية RT

ج. باستخدام قانون أوم يتم حساب فرق الجهد Vab

5. القياسات الكهربية

أ. المقياس ذو الملف المتحرك:

تعتمد فكرة المقياس ذي الملف المتحرك، على القوة المؤثرة، على أي سلك يحمل تياراً كهربياً، يوجد في منطقة، يؤثر فيها مجال مغناطيسي مناسب، وفي حالة ثبات شدة المجال المغناطيسي، فإن القوة المؤثرة على السلك تتناسب طردياً مع شدة التيار الكهربي، المار في هذا السلك. (أُنظر شكل المقياس ذو الملف المتحرك)، يوضح رسماً تخطيطياً لمقياس ذي ملف متحرك؛ التيار يمر في عدد كبير من اللفات السلكية، ذات المقاومة البسيطة، ملفوفة على إطار من معدن خفيف الوزن، وقابل للحركة الحرة، من دون معوقات على محور مركزي؛ تقع هذه الملفات في حقل مغناطيسي، ناشئ عن مغناطيس دائم قوي، ويرتبط مع الملف المتحرك، مؤشر مصنوع من مادة خفيفة الوزن، يتحرك طرفه على تدريج خاص، موضح عليه القيم الكهربية المطلوب قياسها، وعند مرور التيار الكهربي بين النقطتين 1، 2 تتولد قوة كهربية، تؤثر على الملف، وتدفعه للدوران حول مركزه، وهذا الدوران يتناسب مع القوة المحدثة له، التي تتناسب بدورها مع شدة التيار المار في الدائرة؛ أي أن زاوية دوران الملف المتحرك، تتناسب مع شدة التيار المار بين النقطتين 1، 2، وهذا يؤدي إلى انحراف المؤشر بزاوية، هي زاوية دوران الملف المتحرك نفسها، وبتقسيم قوس التدريج إلى مسافات مناسبة، يمكن ترقيم تلك المسافات، بحيث تعبر مباشرة عن الكمية الكهربية المطلوب قياسها.

يستخدم مبدأ المقياس ذي الملف المتحرك، في تصميم الكثير من أدوات قياس الكميات الكهربية المختلفة، التي يطلق عليها أسماء مختلفة، منها "الجلفانومتر" Galvanometer وهو مقياس شديد الحساسية، يستخدم لقياس القيم الصغيرة جداً للتيار الكهربي، تصل في بعض الأحيان، إلى قياس كسر من الميكرو أمبير[4]، باستخدام الجلفانومتر المعملي، ذي الملف المعلق، والعدسة المكبرة لقراءة الانحراف الصغير جداً للمؤشر، كما يطلق اسم الجلفانومتر البالستي، على الجلفانومتر الخاص المستخدم في قياس التيارات الصغيرة جداً، التي توجد لحظياً فقط، توجد خلال فترات لا تتعدى أجزاء من الثانية.

ب. مقياس شدة التيار الكهربي Ampere meter

يستخدم المقياس ذو الملف المتحرك، لقياس تيار كهربي، تتراوح شدته بين الأمبير، والميكروأمبير؛ وعند قياس شدة التيار الكهربي يجب ملاحظة الاعتبارات الآتية:

(1) يجب توصيل طرفي المقياس، وهما في الوقت نفسه، طرفا الملف المتحرك، على التوالي، في الجزء المحدد من الدائرة الكهربية، المطلوب قياس شدة التيار، المار بها، حيث سيتناسب انحراف مؤشر المقياس، مع شدة التيار المار في الملف المتحرك، وهو نفسه التيار المار في الدائرة، حيث إن الدائرة المتصلة على التوالي، يمر بها تيار ثابت.

(2) يجب مراعاة الاتجاه الصحيح، لمرور التيار الكهربي في المقياس، وخاصة عند قياس التيار المستمر، ذي الاتجاه الثابت، لتجنب حدوث آثار ضارة عند التوصيل في الاتجاه الخاطئ.

(3) يلزم أن تكون المقاومة، الداخلية لمقياس التيار صغيرة جداً، وتكون في معظم الأحيان، أقل من أوم واحد، وذلك حتى لا تؤثر هذه المقاومة، في رفع قيمة المقاومة الكلية للدائرة، المطلوب قياس التيار المار بها، وبذلك تنخفض شدة التيار المار في الدائرة، وتكون قراءة المقياس قراءة خاطئة.

يمكن استخدام مقياس التيار الكهربي الواحد، لقياس قيم مختلفة من شدة التيار، تتراوح بين القيم الصغيرة جداً، والكميات الكبيرة، وذلك باستخدام مقاومات، ذات قيم دقيقة، تركب على التوازي، مع مقاومة الملف المتحرك، ويطلق على هذه المقاومات الخاصة، R s مقاومة التوازي للملف Shunt resistance ، و يتم اختيار قيمة هذه المقاومة، بحيث يمر فيها الجزء الأكبر، من التيار الكهربي، وتمر نسبة بسيطة فقط منه، في الملف المتحرك، الذي ينحرف بزاوية تتناسب مع شدة التيار البسيط المار خلاله، ولكن يتم ترقيم أقسام التدريج، بالقيم التي يتم حسابها، باستخدام قانون أوم، والتي تعبر عن شدة التيار الكلي، المار في الدائرة، الذي تم تقسيمه إلى جزأين أحدهما يمر في مقاومة التوازي، والآخر يمر في الملف المتحرك؛ ولتوضيح ذلك ندرس المثال التالي:

مطلوب قياس شدة التيار المار في المقاومةR1 ، (أُنظر شكل مقاومة التوازي لقياس التيار)، بواسطة مقياس لشدة التيار، لا يتحمل ملفه المتحرك أكثر من 30 مللي أمبير[5]، بينما التيار المتوقع مروره في المقاومة، R1 يزيد على ذلك؛ مقاومة الملف المتحرك Rm، تساوي 1.2 أوم، والتيار الكلي المار في الدائرة IT يساوي 50 مللي أمبير. ولنجاح القياس، بواسطة مقياس شدة التيار، مع الحفاظ على سلامته، وبدقة قياس مناسبة، يتم توصيل مقاومة التوازي Rs، عبر طرفي الملف المتحرك للمقياس، وتكون قيمتها 1.2 أوم، مساوية لمقاومة الملف المتحرك؛ بذاك ينقسم التيار إلى قسمين متساويين، يمر قسم منهما في الملف المتحرك، لينحرف المؤشر، الانحراف المناسب لمرور تيار، شدته 25 مللي أمبير، ويمر النصف الثاني من التيار، خلال مقاومة التوازي، وللحصول على القياس السليم للتيار، تضاعف قيمة التيار المقاس بواسطة المقياس.

(أُنظر شكل قياس مستويات التيار)، يوضح كيفية استغلال فكرة مقاومة التوازي Rs، بصورة مبتكرة، لتزويد مقياس شدة التيار، بإمكانية قياس مستويات مختلفة من شدة التيار، حيث S هو مفتاح اختيار مستوى القياس، الذي يناسب شدة التيار المراد قياسها، وبواسطة مفتاح الاختيار S، تختار قيمة Rs المناسبة.

ج. مقياس فرق الجهد الكهربي Voltmeter

يعتمد المقياس ذو الملف المتحرك، على أن القوة الواقعة على الملف المتحرك، نظراً لوقوعه في مجال مغناطيسي ثابت القيمة، تتناسب مع شدة التيار المار في الملف؛ إلا أنه يمكن استخدامه، لقياس فرق الجهد، بإضافة مقاومة، ذات قيمة كبيرة، على التوالي مع الملف المتحرك، ويجب أن تكون قيمة تلك المقاومة، أكبر من مقاومة الملف المتحرك، ويطلق على تلك المقاومة، في هذه الحالة "المقاومة المضاعفة" multiplier resistance و يطلق على المقياس، مقياس فرق الجهد Voltmeter.

يوصل مقياس فرق الجهد، في الدائرة الكهربية، على التوازي بين النقطتين المراد قياس فرق الجهد بينهما، (أُنظر شكل قياس فرق الجهد)، لذلك يجب أن تكون قيمة المقاومة الموصلة على التوالي، مع الملف المتحرك، كبيرة جداً، حتى لا يكون لها أي تأثير يذكر في قيمة مقاومة الدائرة، المراد قياس فرق الجهد بين طرفيها.

يمكن استخدام مقياس واحد لقياس فرق الجهد، لمستويات مختلفة، من الجهود الكهربية، وذلك بتغيير قيمة المقاومة المضاعفة، Multiplier resistance لتتناسب قيمتها، مع مستوى فرق الجهد المطلوب قياسه، (أُنظر شكل المقاومة لقياس التيار).

د. مقياس المقاومة الكهربية Ohmmeters، وقياس الاتصال Continuity

يتكون مقياس المقاومة، بصفة أساسية، من مقياس ذي ملف متحرك، مزود ببطارية، ذات جهد كهربي ثابت، ومقاومة لتحديد شدة التيار الكهربي، كما هو موضح (أُنظر شكل قياس المقاومة)؛ يوصل جزء الدائرة الكهربية، المطلوب قياس مقاومته، بين الطرفينa ، b لمقياس المقاومة، مع مراعاة، أن تكون جميع مصادر التغذية الكهربية، بالدائرة الخاضعة للقياس، مفصولة، ويكون مصدر التغذية الكهربية الوحيد، هو البطارية المتصلة مباشرة بمقياس المقاومة.

عند عدم توصيل أي مقاومة، بين الطرفين a، b، لا يمر تيار كهربي، في الملف المتحرك، وبالتالي لا يتحرك المؤشر، وفي هذه الحالة تكون العلامة المواجهة لطرف المؤشر، على التدريج، مكافئة لمقاومة لا نهائية، وفي حالة توصيل سلك مقاومته صفر، بين الطرفينa، b، تكون العلامة المواجهة لطرف المؤشر، على التدريج، مكافئة لمقاومة قيمتها صفر، (أُنظر شكل تدريج مقياس المقاومة).

يمكن استخدام مقياس المقاومة، لقياس مستويات مختلفة، من المقاومات الكهربية، باستخدام فكرة مجزئ الجهد، بتوصيل فرع من المقاومات المتصلة على التوالي، (أُنظر شكل قياس مستويات جهد مختلفة)، هذا الفرع يتصل على التوازي مع البطارية الخاصة بالمقياس، وبواسطة المفتاح S يتم اختيار الجهد المناسب، لمستوى المقاومات المطلوب قياسها.

كثيراً ما تتعرض الدوائر الكهربية لأعطال، يلزم الكشف عنها، لإصلاحها، ومن أكثر الأعطال الشائعة للدوائر الكهربية، انفصال الاتصال، بين أي نقطتين في الدائرة أو انقطاعه؛ لاكتشاف هذا العطل، يستخدم مقياس المقاومة بأسلوب اختبار الاتصال، أي قياس المقاومة بين النقط المتصلة، والتأكد من أن المقياس، يشير إلى مقاومة قيمتها صفر أوم.

هـ. قياس القدرة الكهربية، والمقياس متعدد المهام multimeters

كما سبق توضيحه، فإن القدرة الكهربية P، في دائرة كهربية معينة، تحسب من المعادلة:

P = I V

و P = I2R

أي أنه يمكن حساب القدرة الكهربية لهذه الدائرة بقياس شدة التيار المار في الدائرة، وفرق الجهد المطبق بين أطرافها، أو المقاومة الكلية لتلك الدائرة. هذا النوع من القياسات، مطلوب في معظم الأحوال، ولذلك يتم تصنيع نوع من أجهزة القياس، ذات الملف المتحرك، يمكن بواسطة مفتاح خاص بها، اختيار نوع العمل، وتحويل المقياس ليتناسب، مع قياس شدة التيار، أو فرق الجهد، أو المقاومة الكهربية، ويطلق على هذا النوع من أجهزة القياس، "المقياس المتعدد" Multimeter.

خامساً: البطاريات

1. الموصلات والعوازل

تتميز المواد الموصلة، بتوافر عدد وافر، من الإلكترونات الحرة في تركيبها، وهذه الإلكترونات الحرة، يمكن تحريكها بسهولة، ببذل شغل، من مصدر مناسب للطاقة الكهربية، ويمكن، أيضاً، تعريف المواد الموصلة، بأنها تلك المواد التي لها مقاومة كهربية صغيرة جداً، فمقاومة سلك من النحاس طوله 10 أقدام، على سبيل المثال، تقل عن أوم واحد؛ عادة تستخدم أسلاك من المواد الموصلة، لتوصيل أطراف مصدر الجهد الكهربي، بأطراف الجهاز أو المعدة، المراد تغذيتها بالطاقة الكهربية، من دون فقد جزء من الطاقة الكهربية المخزونة، أو المتولدة من مصدر التغذية.

تتميز المواد العازلة، بعدم وجود إلكترونات حرة في تركيبها، ويصعب فصل الإلكترونات الموجودة في مدارات، حول ذرات تلك المواد، إلا في أحوال خاصة، وتوفير طاقة عالية جداً، ويمكن تعريف المواد العازلة، بأنها تلك المواد، التي لها مقاومة كهربية تزيد على بضعة ملايين أوم؛ ومن أمثلة هذه المواد، الهواء، والزجاج، والبلاستيك، والمطاط، والقطن، وهي تستخدم عادة لفصل، أو عزل الموصلات الكهربية، وكذلك لمنع انتقال الإلكترونات، أو التيار الكهربي، من موصل إلى أي جسم آخر.

هناك بعض العناصر الطبيعية، وبعض المواد المركبة، لها خواص كهربية متوسطة، بين الخواص الكهربية للمواد الموصلة، والخواص الكهربية للمواد العازلة؛ يطلق على هذه المواد أشباه الموصلات Semiconductors ، وتلك المواد، لها استخدامات عديدة ومهمة جداً، وتعد القاعدة الأساسية، التي ارتكز عليها التقدم التكنولوجي السريع، لعالم الإلكترونيات.

يستخدم الموصل الكهربي، كما سبق توضيحه، لتوصيل الطاقة الكهربية، من مصدرها، إلى الجهاز أو المعدة، المطلوب تغذيتها بالجهد الكهربي، وعلى سبيل المثال، توصيل مصباح كهربي قدرته 100 وات، بمصدر للجهد يوفر 200 فولت، وهذا يعنى، أنه لكي يضئ المصباح الإضاءة السليمة، يلزم أن ينطبق على طرفيه فرق جهد 200 فولت، ويمر به تيار شدته 0.5 أمبير؛ لكي يتحقق ذلك، يلزم توصيل المصدر الكهربي، والمصباح، بسلك ذي مقاومة صغيرة، بحيث يكون فرق الجهد الواقع على السلك قليلاً، لا يؤثر في قيمة الجهد المطبق على طرفي المصباح؛ (أُنظر شكل توصيل مصباح بسلك)، يوضح طريقة توصيل مصدر تغذية كهربية، جهده 200 فولت، بمصباح كهربي، قدرته 100 وات، بسلك مقاومته 1 أوم، لكل 10 أمتار من الطول؛ تحسب القدرة P ، من المعادلة:

P = I V

  100 = I x 200

I = 0,5 Amper

هذا التيار، يسبب فقداً في الجهد Vd يساوي:

Vd = 0,5 x 1

  Volt =0,5

ويكون فرق الجهد، المطبق على طرفي المصباح، عبارة عن الباقي:

200-0.5=199.5 Volts

وهذا الجهد، يناسب تماماً العمل السليم للمصباح، ويوفر الإضاءة القوية منه؛ لكن إذا ازدادت مقاومة سلك التوصيل، وأصبحت 100 أوم مثلاً، فإن الفرق في الجهد، يكون 50 فولت، والباقي 150 فولت؛ هذا لا يناسب العمل السليم للمصباح، وينتج إضاءة ضعيفة، إضافة إلى أن هناك طاقة مفقودة، خلال عملية التوصيل، لم يستفد منها، ولها آثار ضارة، على الدائرة الكهربية.

تصنع معظم أسلاك التوصيل الكهربي، من مادة النحاس، ذات المقاومة القليلة جداً، وهناك بعض الأسلاك المصنوعة، من الألومنيوم أو الفضة، تستخدم لأغراض خاصة؛ يكون سلك التوصيل منفرداً، (أُنظر شكل السلك المفرد)، أو مجموعة أسلاك رفيعة مجدولة، (أُنظر شكل السلك المجدول)، النوع المجدول يكون أكثر مرونة، ومقاومة للكسر، من النوع المفرد، وتكون مساحة مقطع السلك المجدول، هي مجموع مساحات مقاطع الأسلاك الرفيعة المكونة للجديلة.

يتكون الكابل cable ، من مجموعة من أسلاك التوصيل، تتكون من سلكين، أو أكثر بينها مادة عازلة، وأشهر أنواع الكوابل وأكثرها استخداماً، الكابل المحوري Coaxial cable ، (أُنظر شكل السلك المحوري)، حيث يكون الموصل الداخلي، أحد أسلاك التوصيل، وتكون الشبكة المجدولة، المحيطة بالموصل الداخلي، هي الموصل الثاني، الذي يمثل في الوقت نفسه، حاجباً يمنع تداخل المجالات الكهرومغناطيسية، غير المرغوب فيها، مع الإشارات الكهربية المفيدة، التي تسري في الموصل الداخلي.

لمنع حدوث قصر في الدوائر الكهربية، أو لمنع اتصال الأسلاك الكهربية مع أسلاك كهربية أخرى، أو مع أي مكون، أو نقطة موصلة أخرى من الدائرة، يلزم تغطية السلك الموصل، بمادة عازلة لها، مقاومة عالية القيمة، فالأسلاك الرفيعة جداً، تغطى بطبقة من طلاء، عازل مثل "الإنامل". أما الأسلاك، ذات القطر الأكبر نسبياً، فتغطى محيطها بمادة عازلة، عادة ما تكون مادة بلاستيكية، أو مطاطية، أو قطنية، وغالباً ما يحاط السلك الموصل، بأكثر من طبقة من المواد العازلة المختلفة، إذا كان يحمل تياراً كبيراً، أو كان فرق الجهد بين السلك الموصل، والمكونات القريبة منه كبيراً.

غالباً ما تمثل أسلاك التوصيل، في الدوائر الكهربية المعقدة، مشكلة كبيرة، نظراً لتداخلها وصعوبة تمييزها وتنسيقها، ونتيجة لذلك، تم تطوير تقنية جديدة، أطلق عليها تقنية الدوائر الكهربية المطبوعة، Printed circuits، وفيها يتم الاستغناء عن معظم أسلاك التوصيل المستخدمة للربط بين مكونات الدائرة الداخلية، وتستخدم بدلاً من أسلاك التوصيل، مسارات من الفضة أو النحاس، مطبوعة على رقيقة من مادة عازلة، ويتم تركيب المكونات بواسطة اللحام مباشرة على النقط، المخصصة لها مسبقاً على هذه المسارات؛ تتميز الدوائر الكهربية المطبوعة بالحجم الصغير المدمج، وجودة عالية للموصلات الكهربية.

2. مكونات الدوائر الكهربية

تتركب معظم الدوائر الكهربية المعروفة، من عناصر متعددة يمكن، أن تنقسم إلى قسمين رئيسيين:

أ. العناصر السلبية مثل: المقاومات، والمكثفات، والملفات، وأسلاك التوصيل، والمفاتيح المختلفة، والمنصهرات Fuses، ومصابيح الإضاءة المختلفة Pilot lamps، ومصادر التغذية... الخ.

ب. العناصر الإيجابية، التي تنقسم أساساً إلي:

(1) الصمامات، وهي قديمة، ولم تعد شائعة الاستخدام إلا في حالات خاصة ونادرة.

(2) أشباه الموصلات، مثل الوصلات الثنائية، Diodes ، والثلاثية، Transistors، والدوائر المتكاملة بأنواعها المختلفة.

3. المقاومات Resistors

في كثير من تطبيقات الدوائر الكهربية، تظهر الحاجة إلى استخدام مقاومة، لتقليل التيار الكهربي المار في جزء معين من الدائرة، أو لخفض فرق الجهد المطبق على جزء معين من الدائرة؛ تعد المقاومات هي أكثر مكونات الدوائر الكهربائية شيوعاً.

يتم تصنيع المقاومات بطرق مختلفة، أكثرها انتشاراً المقاومات السلكية، والمقاومات الكربونية؛ تنتج المقاومات بقيم متفاوتة، تتراوح من كسر من الأوم، إلى بضعة ملايين من الأوم، وذات قدرات تتراوح من كسر من الوات، إلى بضعة مئات من الوات؛ تعبر قدرة المقاومة، عن الطاقة الكهربية التي يمكن أن تبددها المقاومة بدون أن تتلف.

تستخدم المقاومات السلكية، في الاستخدام الذي يستدعي تبديد قدرة تزيد على 5 وات، أما إذا كانت القدرة أقل من 2 وات، فتفضل المقاومات الكربونية، حيث إن حجمها أصغر، وتكلفتها أقل، كما يمكن إنتاج كلا النوعين بقيم ثابتة، أو بقيم متغيرة، يمكن ضبطها، عند أي قيمة تتراوح بين الصفر وأقصى قيمة للمقاومة، وعادة ما تستخدم المقاومات المتغيرة كمجزئات للجهد.

يستخدم كود الألوان، لتحديد قيم المقاومات، وخاصة المقاومات صغيرة الحجم التي يصعب الكتابة عليها، فتعطي الألوان القيم الموضحة (أُنظر جدول كود الألوان للمقاومات اللاسلكية)، يتم وضع هذه الألوان كشرائح متوازية، تبدأ من الطرف الأيسر للمقاومة، (أُنظر شكل كود ترقيم المقاومات)؛ وتوضح الشريحة أ الرقم الأول من قيمة المقاومة، والشريحة ب الرقم الثاني منها، بينما توضح الشريحة ج[6] المعامل العشري، الذي يوضح عدد الأصفار، بعد الرقمين المحددين بالشريحتين أ، ب؛ أما الشريحة د فهي توضح درجة السماحة، Tolerance ، كما تعبر عن الاختلاف المقبول بين القيمة الفعلية للمقاومة، والقيمة المحددة عليها طبقاً لكود الألوان، وهذه الشريحة تكون باللون الفضي، إذا كانت السماحة ± 10 %، وباللون الذهبي إذا كانت ± 5 % فقط، أما إذا لم تكن هناك الشريحة د، فهذا يعنى أن السماحة ± 20 %.

هناك أنواع عديدة أخرى من المقاومات، من أهمها المقاومات الحرارية، التي يطلق عليها "ثرمستور" Thermestor، وهي مقاومة تتغير قيمتها في الدائرة الكهربية طبقاً لدرجة الحرارة؛ ومنهاً أيضاً، المنصهرات، وهي مقاومة خاصة ذات قيم صغيرة، تنصهر إذا زاد التيار المار بها على قيمة معينة، بهدف حماية بقية مكونات الدائرة، فإذا زادت شدة التيار الكهربي عن القيمة المسموح بها، ينصهر المنصهر، وينقطع التيار عن الدائرة، حتى يمكن دراسة سبب ارتفاع التيار ومعالجته.

4. البطاريات مصدر للطاقة الكهربية

البطارية مجموعة من الخلايا الكيميائية، تحول الطاقة الكيميائية إلى طاقة كهربائية، وهي تُعد مصدراً للجهد المستمر D-C Voltage .

أ. خلية فولتايك Voltaic cell

عند وضع معدن ما، في محلول موصل للكهرباء، يعرف باسم "محلول إلكتروليتي" electrolytic مثل: المحاليل الحمضية acid solution، أو المحاليل القاعدية base solution، أو المحاليل الملحية salt solution؛ فإن المادة المعدنية، تكتسب جهداً كهربياً معيناً، نتيجة للتفاعل الكيميائي، الذي يؤدي إلى تبادل إلكتروني بين سطح المادة المعدنية والمحلول؛ وإذا وضع معدنان مختلفان في المحلول الكهربي، سيكتسب كل منهما جهداً كهربياً مختلفاً، وهذا يعني حدوث فرق جهد كهربي بين المعدنين، فإذا تم توصيل دائرة كهربية، بين هذين المعدنين،عمل فرق الجهد الكهربي بينهما، على دفع تيار من الإلكترونات يتحرك من الطرف الأقل جهداً، يعرف باسم آنود Anode، إلى الطرف الأعلى جهداً، يعرف باسم "كاثود" cathode؛ (أُنظر شكل خلية فولتايك)، تنتقل الإلكترونات، من المحلول الكهربي المتأين، إلى لوح الخارصين، zinc، وتتجمع عليه؛ كما تنتقل الجزئيات الموجبة من المحلول المتأين، إلي لوح النحاس لتتجمع عليه، فإذا تم توصيل دائرة كهربية بين الخارصين والنحاس، انتقلت الإلكترونات من لوح الخارصين خارجياً في الدائرة، إلى لوح النحاس، لتعادل الجزئيات الموجبة المتجمعة عليه، وهكذا يستمر سريان تيار الإلكترونات في الدائرة الخارجية، من الخارصين، الأنود، إلى النحاس، الكاثود، طالما استمر التفاعل الكيميائي داخل الخلية؛ ويمكن تلخيص التفاعل الذي يتم كآلاتي:

تفاعل أكسدة oxidation

تفاعل اختزال Reduction

ب. الخلية الأولية، والخلية الثانوية

في الخلية الأولية، لا يمكن عكس اتجاه التفاعل الكيميائي في المحلول الكهربي، فعلى سبيل المثال يمكن أن يذوب الخارصين، في محلول كلور يد الأمونيوم، متفاعلاً معه، ولكن لا يمكن عكس اتجاه التفاعل لاستعادة الخارصين المذاب في محلول كلور يد الأمونيوم؛ من أمثلة الخلايا الأولية الخلايا الجافة.

في الخلية الثانوية، يمكن عكس اتجاه التفاعل الكيميائي في المحلول الكهربي، إذ يمكن للأقطاب أن تذوب متفاعلة في المحلول، وأثناء ذلك يسير التيار الكهربي في اتجاه معين في الدائرة؛ وفي حالة عكس اتجاه مرور التيار الكهربي، يمكن استرجاع مادة الأقطاب المذابة في المحلول الكهربي؛ عند ذوبان الأقطاب في المحلول، يقال إنه يتم تفريغ الخلية، d ischarging، وفي هذه الحالة يعادل التيار الكهربي، الشحنات الكهربية الناتجة أثناء التفاعل، أي أن الخلية في هذه الحالة يمكن استخدامها مصدراً للجهد الكهربي، أما في الحالة العكسية، عند انعكاس اتجاه التيار الكهربي لاسترجاع مادة الأقطاب، فيقال إنه يتم شحن الخلية Charging ، وفي هذه الحالة يجب توفير التيار الكهربي من مصدر خارجي؛ من أمثلة تلك النوعية من الخلايا، الخلايا التي تستخدم ألواح الرصاص، ومحلول حامض الكبريتيك، التي تتكون منها البطاريات الحمضية، المستخدمة في السيارات.

ج. مجموعة العناصر الكهروكيميائية

لتكوين الخلايا الكهروكيمائية، تستخدم بعض العناصر، التي يمكنها أن تكتسب جهداً كهربياً، عند وضعها داخل محلول موصل كهربي، وتعرف هذه العناصر، باسم مجموعة العناصر الكهروكيميائية؛ (أُنظر جدول الجهد الكهربي لبعض العناصر مقارنة بعنصر الهيدروجين)، يبين الجهد الكهربي لهذه العناصر، مقارنة بجهد عنصر الهيدروجين؛ ويبين فرق الجهد بين أي عنصرين من هذه المجموعة، جهد خلية كهربية نموذجية، تستخدم هذين العنصرين قطبين بها، فالعنصر الأقل جهداً، يكون هو القطب السالب للخلية، والعنصر الأعلى جهداً، يكون هو القطب الموجب للخلية، وعند الحاجة لفرق جهد كهربي أكبر من الجهد الذي يمكن توفيره من خلية واحدة، فإنه يمكن توصيل أكثر من خلية على التوالي، لتكوين بطارية، لها فرق الجهد الكهربي المطلوب بين أطرافها.

د. الخلية الجافة (أُنظر شكل العمود الجاف)

تتكون من القطب السالب، وهو الوعاء الخارجي، المكون من مادة الخارصين، والقطب الموجب، وهو عمود من مادة الكربون، موجود في مركز الوعاء، ومعزول جيداً، حتى لا يمس وعاء الخارصين؛ والمحلول الكهربي وهو محلول كلور يد الأمونيوم، وحتى لا يكون في الحالة السائلة، يحوّل إلى عجينة من حبيبات الكربون ومسحوق ثاني أكسيد المنجنيز، ويحتفظ به في حالة رطبة؛ ولثاني أكسيد المنجنيز، دور آخر، إذ يتفاعل مع غاز الهيدروجين الناتج من التفاعل الرئيس، الذي يتجمع حول عمود الكربون، فيقلل من الجهد الكهربي للخلية، وبالتخلص منه، يمكن الاستفادة من جهدها الكهربي لفترة أطول، ونظراً للتفاعل الداخلي، والجفاف التدريجي للمحلول الكهربي في الخلية الجافة، فإن صلاحيتها للعمل تنتهي مع مرور الوقت، حتى في حالة عدم توصيلها مع أي دائرة كهربية.

هـ. البطارية الحمضية

تستخدم البطاريات الحمضية عند الحاجة إلى شدة تيار كهربي مرتفعة، والخلية الحمضية، ذات أقطاب من مادة الرصاص، Lead acid cell، وهي الأكثر شيوعاً، فمثلاً: لبدء تشغيل محرك السيارة، نحتاج إلى تيار كهربي شدته من 200 إلى 300 أمبير، وهو تيار ضخم جداً، لا يمكن الحصول عليه إلا من بطارية حمضية. والخلية الواحدة، من الخلايا الحمضية، تنتج من 2 إلى 2.2 فولت، وتوصل ست خلايا منها، لتكوين بطارية سيارة جهدها 12 فولت. وتعرف الخلايا الحمضية، بأنها خلايا ثانوية، أي أنها قابلة للشحن، وإعادة الشحن أكثر من مرة، ويتوقف عمرها الافتراضي على عدد دورات الشحن، والتفريغ، وكذلك التعرض لدرجات حرارة زائدة؛ كما تتميز البطاريات الحمضية بكمية التيار الكهربي[7] الذي يمكن سحبه منها بصفة مستمرة، في وقت زمني محدد، بحيث يظل الجهد الكهربي مستقرا، أعلى من القيمة الاسمية لجهد البطارية. "المقياس المتعدد" Multimeter.




[1] النظام المغلق، هو تصور نظري لأي جسم، أو مجموعة من الأجسام، منعزلة تماماً عن باقي الكون، ولا يوجد بينه، وبين أي جسم أو نظام آخر في الكون، أي نوع من الاتصال، أو التفاعل.

[2] شحنة الإلكترون تساوي = 1.602  10 -19 كولوم.

[3] الشحنات الكهربية: إما أن تكون ذات قطبية موجبة، أو ذات قطبية سالبة، ويرمز لها بالرمز Q+ أو Q- وتعد الشحنة التي تساوي صفراً شحنة متعادلة.

[4] الميكرو أمبير وحدة قياس لشدة التيار الكهربي تساوي 10-6 أمبير.

[5] المللي أمبير وحدة لقياس شدة التيار تساوي 10-3 أمبير.

[6] للمقاومات التي تقل قيمتها عن 10 أوم، يمكن أن تأخذ الشريحة `ج` لونين إضافيين، هما اللون الفضي، وهذا يعني قسمة القيمة الموضحة على 10، واللون الذهبي، وهذا يعني قسمة القيمة على 100.

[7] تيار شدته من 50 إلى 200 أمبير في الساعة، يعد قيمة معتادة للبطاريات الحمضية.