إرشادات مقترحات البحث معلومات خط الزمن الفهارس الخرائط الصور الوثائق الأقسام

مقاتل من الصحراء
Home Page / الأقســام / موضوعات سياسية عسكرية / برنامج "النفط مقابل الغذاء"









الملحق الرقم (3) مسلسل 3-1

المرفق الثاني

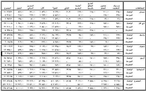
مقادير السلع الغذائية الواصلة إلى محافظات العراق

بموجب القرار 986 (1995)، وتوزيعها، ومقادير مخزونها الراهن (بالأطنان)

 

المصدر: تقرير وحدة المراقبة المتعددة التخصصات المؤرخ 28 أيار/مايو 1997.

(أ) تبين أرقام خطة التوزيع الاحتياجات من دقيق القمح؛ ونسبة استخراج الدقيق من حبوب القمح مقدرة بـ 9: 10.

(ب) نظرا لأن الكميات الواصلة كانت غير كافية للتوزيع الكامل، استخدمت مخازن المحافظة مخزوناتها الخاصة لتعويض العجز.

(ج) في التأميم تتلقى أربعة مطاحن القمح لإنتاج الدقيق لمحافظة السليمانية (تظهر تحت السليمانية(


 



[1] إضافة إلى هذه النفقات، ستستخدم الأموال تحت هذا الحساب لسداد الحساب فيما يتعلق بشراء الإمدادات الإنسانية لوسط وجنوب العراق، وللأغذية والأدوية المسلمة إلى المحافطات الشمالية الثلاث بموجب ترتيب المشتريات السائبة مع حكومة العراق.